Скани, папка Fond_R-5634/opys_1/R5634_1_515



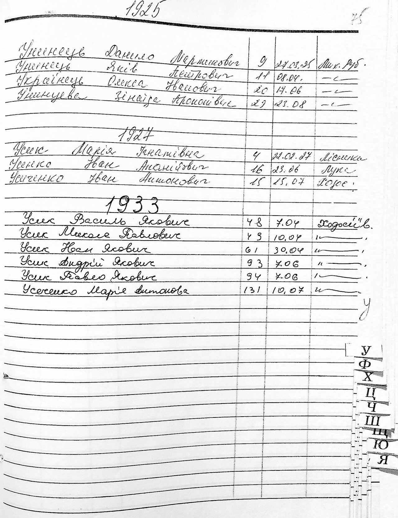
Алфавітна книга реєстрації актів про смерть відділу реєстрації актів цивільного стану Києво-Святошинського району за 1922-1933 роки

Справи

Дочекайтесь завантаження сторінки (це повідомлення зникне) для користування усім функціоналом сайта.