Toggle navigation
ДАКО.описи&справи
Головна
Описи
До 1917 року
1917 - 1991
Е-архів
РАЦС
Рішення облради
Фільтраційні справи
Контакти
Головна
Скани
Скани, папка Fond_F-1735/opys_1/
1735
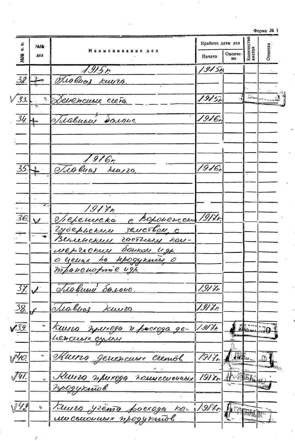
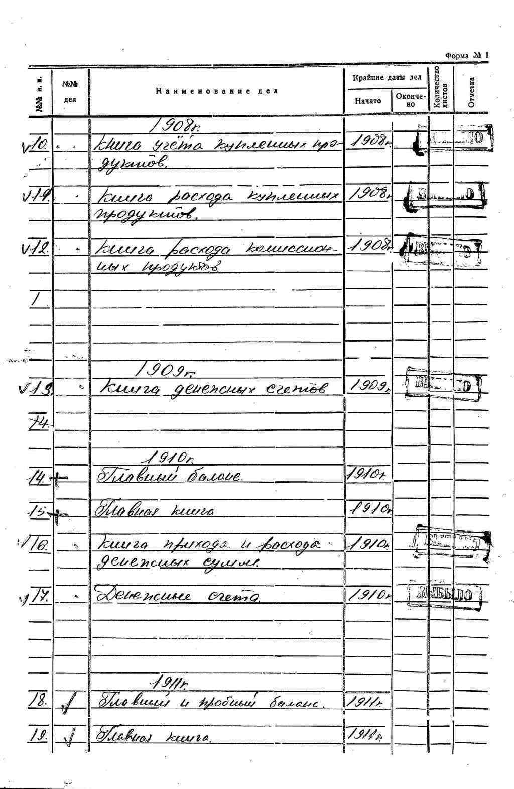
Листування з Воронезьким губернським земством, Волинським приватним комерційним банком з питань перевезення сільськогосподарської продукції, цін на продовольчі товари. Головні книги, баланси.
Справи:
Фонд 1735
,
Опис 1
Все
Експорт даних з цієї сторінки
HTML
CSV
Текст
Excel
JSON
№ справи
Заголовок справи (подано мовою оригіналу).
Нічого не знайдено.
Описи
Дочекайтесь завантаження сторінки (це повідомлення зникне) для користування усім функціоналом сайта.
1.
2.
3.
4.
5.
6.
7.
8.